全国2007年10月高等教育自学考试混凝土及砌体结
《自考视频课程》名师讲解,轻松易懂,助您轻松上岸!低至199元/科!
全国2007年10月高等教育自学考试
混凝土及砌体结构(建筑结构)试题
课程代码:02396(02432)
一、单项选择题(本大题共10小题,每小题2分,共20分)
在每小题列出的四个备选项中只有一个是符合题目要求的,请将其代码填写在题后的括号内.错选、多选或未选均无分.
1.若结构或构件超过正常使用极限状态,将会损害其( )
A.安全性或适用性
B.经济性或耐久性
C.适用性或耐久性
D.安全性或经济性
2.确定混凝土强度等级的依据是( )
A.立方体抗压强度标准值
B.轴心抗压强度标准值
C.立方体抗压强度平均值
D.轴心抗压强度平均值
3.钢筋混凝土受弯构件从加载到破坏经历了三个阶段,验算使用阶段裂缝宽度和挠度所对应的阶段是( )
A.Ⅰa阶段
B.Ⅱ阶段
C.Ⅲ阶段
D.Ⅲa阶段
4.在钢筋混凝土受弯构件中,要求弯起钢筋的弯起点设置在按正截面受弯承载力计算的充分利用截面h0/2以外处,其目的是( )
A.保证正载面受弯承载力
B.保证斜截面受剪承载力
C.保证斜截面受弯承载力
D.限制斜裂缝宽度
5.钢筋混凝土对称配筋矩形截面小偏心受压柱,下列四组内力中,对配筋起控制作用的是( )
A.M=50kN·m,N=2200kN
B.M=-50kN·m,N=2600kN
C.M=-80kN·m,N=2600kN
D.M=80kN·m,N=2200kN
6.计算钢筋混凝土矩形截面弯剪扭构件承载力时,不需对构件进行受扭承载力计算的条件是( )
A.T≤0.7ftWt
B.T≤0.7ftbh0
C.T≤0.175ftWt
D.T≤0.25βc fcbh0
7.采用考虑塑性内力重分布的方法计算钢筋混凝土连续梁(板)内力时,支座截面相对受压区高度应满足( )
A.ξ≤ξb
B.0.1≤ξ≤0.35
C.ξ>ξb
D.0.35<ξ≤ξb
8.提高钢筋混凝土受弯构件弯曲刚度最有效的措施是( )
A.增加构件的截面宽度
B.增加受拉钢筋载面面积
C.提高混凝土强度等级
D.增加构件的截面高度
9.对构件施加预应力的目的是( )
A.检验构件的承载力
B.提高构件的承载力
C.提高构件的承载力和抗裂度
D.提高构件的抗裂度
10.在砌体结构房屋中,确定承重墙厚度的主要依据是( )
A.承载力和高厚比
B.适用性和耐久性
C.高厚比和耐久性
D.承载力和适用性
二、填空题(本大题共10小题,每小题1分,共10分)
请在每小题的空格中填上正确答案.错填、不填均无分.
11.在素混凝土梁内配置受力钢筋的主要目的是提高构件的____________________能力和变形能力.
12.反映钢筋塑性性能的主要指标是___________________和冷弯性能.
13.截面尺寸、混凝土强度等级和钢筋级别确定后,钢筋混凝土单筋矩形截面受弯构件所能提供的最大正截面受弯承载力设计值Mu,max为_____________________.
14.钢筋混凝土受弯构件中箍筋配筋率ρsv的计算公式为______________________.
15.设计钢筋混凝土矩形截面弯剪扭构件时,纵向钢筋截面面积是由____________________承载力确定的.
16.配有螺旋箍筋的钢筋混凝土轴心受压柱,其截面核心区混凝土处于_______________应力状态,因而能提高柱的受压承载力和变形能力.
17.在钢筋混凝土偏心受拉构件的受力过程中,若始终存在受压区,则该构件为_____________受拉构件.
18.σl2是预应力钢筋与孔道壁_______________引起的预应力损失.
19.计算单向板肋梁楼盖内力时,若板或次梁支承在砖墙上,则不应使用___________荷载.
20.计算钢筋混凝土受弯构件截面弯曲刚度B时,引入挠度增大系数θ是考虑荷载效应_____________组合的影响.
三、名词解释题(本大题共4小题,每小题2分,共8分)
21.承载能力极限状态
22.第二类T形截面
23.最小刚度原则
24.砌体结构
四、简答题(本大题共6小题,每小题5分,共30分)
25.画出钢筋混凝土双筋矩形截面受弯构件正载面受弯承载力计算简图,写出计算公式和适用条件.
26.钢筋混凝土轴心受压构件中,纵向受力钢筋和箍筋的作用是什么?
27.预应力混凝土构件对预应力钢筋有哪些要求?预应力钢筋有哪几类?
28.砖砌体轴心受压构件从加载到破坏经历了几个阶段?简述各阶段的特征.
29.简述单向板肋梁楼盖主梁的计算特点.
30.砌体结构房屋的静力计算方案有哪几种?以单层房屋为例,画出相应的计算简图.
五、计算题(本大题共4小题,每小题8分,共32分)
31.某安全等级为一级的钢筋混凝土T形截面梁,截面尺寸为b=250mm,h=600mm,
bf′=800mm,hf′=100mm,as=40mm.纵向受力钢筋采用HRB335级(fy=300N/mm2),混凝土采用C30级(fc=14.3N/mm2,ft=1.43N/mm2).该梁承受弯矩设计值M=210kN·m,试确定所需纵向受拉钢筋截面面积As.
提示:γ0=1.1,α1=1.0,ξb=0.550.
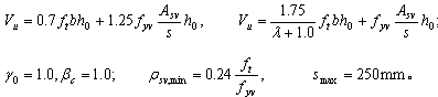
32.某安全等级为二级的钢筋混凝土矩形截面连续梁,截面尺寸为b×h=250mm×700mm,as=60mm.混凝土采用C30级(fc=14.3N/mm2,ft=1.43N/mm2),沿梁全长配有HRB400级(fyv=360N/mm2)双肢箍筋
8@100.该梁承受均布荷载作用,最大剪力设计值V=570kN.试验算该梁的斜截面受剪承载力是否满足要求.提示:

33.某安全等级为二级的钢筋混凝土矩形截面偏心受压柱,截面尺寸为b×h=400mm×600mm,aS=aS′=40mm, 计算长度l0=6m.混凝土采用C30级(fc=14.3N/mm2),钢筋采用HRB400级(
).该柱承受轴向压力设计值N=1000kN,弯矩设计值M=470kN·m.若采用对称配筋,试确定所需纵向受力钢筋截面面积AS和AS′(不要求验算垂直于弯矩作用平面的受压承载力).提示:

一侧纵向受力钢筋的最小配筋率为0.2%,
全部纵向受力钢筋的最小配筋率为0.6%.
34.某钢筋混凝土矩形截面简支梁,截面宽度为200mm,高度为500mm,支承在厚度为370mm的砖砌山墙上,支承长度为240mm.墙体采用MU10砖和M5混合砂浆砌筑(f=1.50N/mm2).梁端由荷载设计值产生的支承压力Nl=60kN,上部荷载设计值在砌体截面中产生的平均压应力为σ0=1.2N/mm2.试验算梁端支承处砌体的局部受压承载力是否满足要求.
提示:
.
本文标签:湖南自考 湖南自考历年真题 全国2007年10月高等教育自学考试混凝土及砌体结
转载请注明:文章转载自(http://www.hnzk.hn.cn)
《湖南自考网》免责声明
1、由于各方面情况的调整与变化,本网提供的考试信息仅供参考,考试信息以省考试院及院校官方发布的信息为准。
2、本网信息来源为其他媒体的稿件转载,免费转载出于非商业性学习目的,版权归原作者所有,如有内容与版权问题等请与本站联系。联系邮箱:812379481@qq.com




















