2018年湖南自学考试高等数学公式大全(2)
《自考视频课程》名师讲解,轻松易懂,助您轻松上岸!低至199元/科!
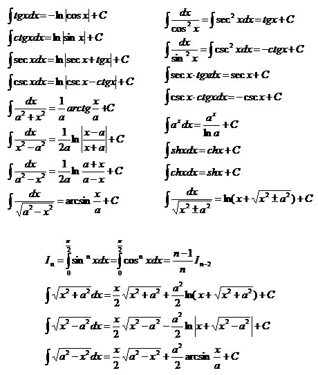
基本积分表:

以上就是关于《2018年湖南自学考试高等数学公式大全(2)》的全部内容,想了解更多湖南自考资讯,请持续关注《湖南自考网》。如有需要,考生可点击《湖南自考网助学报名入口》进行报名,或点击添加《招生老师微信》进行咨询解答和报名服务哦~
本文标签:湖南自考 湖南自考公共课 2018年湖南自学考试高等数学公式大全(2)
转载请注明:文章转载自(http://www.hnzk.hn.cn)
《湖南自考网》免责声明
1、由于各方面情况的调整与变化,本网提供的考试信息仅供参考,考试信息以省考试院及院校官方发布的信息为准。
2、本网信息来源为其他媒体的稿件转载,免费转载出于非商业性学习目的,版权归原作者所有,如有内容与版权问题等请与本站联系。联系邮箱:812379481@qq.com




















